一般來說,投影意味著降維操作,有一種投影方法是在某個方向上用0作為縮放因子。這種情況下,所有點都被拉平至垂直的軸(2D)或平面(3D)上。這種類型的投影稱作正交投影(或者平行投影),因為從原來的點到投影點的直線相互平行。
向坐標軸或平面投影
最簡單的投影方式是向坐標軸(2D)或平面(3D)投影,如圖8.15所示:

向坐標軸或平面投影在實際變換中不常發生,大多數情況是向低維的變換賦值,且要拋棄維數時。例如,將3D點賦值給2D點,拋棄z分量,只復制x和y。
通過使垂直方向上的縮放因子為零,就能向坐標軸或平面投影。考慮到完整性,下面列出這些變換矩陣,見公式8.10 -
8.14。

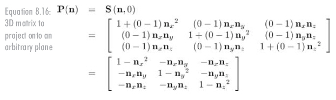
向任意直線或平面投影
也能向任意直線或平面投影,像往常一樣,由于不考慮平移,這些直線或平面必須通過原點。投影由垂直于直線或平面的單位向量n定義。
通過使該方向的縮放因子為0能夠導出向任意方向投影的矩陣,2D中的情況如公式8.15所示:

記住這里n垂直于投影直線,而不是平行。3D中,向垂直于n的平面投影的矩陣如公式8.16所示:

鏡像
鏡像(也叫做反射)是一種變換,其作用是將物體沿直線(2D中)或平面(3D中)“翻折”,圖8.16展示了鏡像的效果。

使縮放因子為-1能夠很容易地實現鏡像變換,設n為2D單位向量,公式8.17所示的矩陣將沿通過原點且垂直于n的反射軸來進行鏡像變換。

3D中,用反射平面代替直線。公式8.18中的矩陣將沿通過原點且垂直于n的平面來進行鏡像變換:

注意一個物體只能“鏡像”一次,如果再次鏡像(當沿不同的軸或平面的時候),物體將翻回“正面”(用一張紙來想象),這和在原位置旋轉物體的效果一樣。
切變
切變是一種坐標系“扭曲”變換,非均勻地拉伸它。切變的時候角度會發生變化,但令人驚奇的是面積和體積卻保持不變。基本思想是將某一坐標的乘積加到另一個上。例如,2D中將y乘以某個因子然后加到x上,得到
x' = x + sy,如圖8.17所示:

實現這個切變變換的矩陣為:
